English
全部
搜索
图片
视频
短视频
地图
资讯
更多
购物
航班
旅游
笔记本
报告不当内容
请选择下列任一选项。
无关
低俗内容
成人
儿童性侵犯
时长
全部
短(小于 5 分钟)
中(5-20 分钟)
长(大于 20 分钟)
日期
全部
过去 24 小时
过去一周
过去一个月
去年
清晰度
全部
低于 360p
360p 或更高
480p 或更高
720p 或更高
1080p 或更高
源
全部
Dailymotion
Vimeo
Metacafe
Hulu
VEVO
Myspace
MTV
CBS
Fox
CNN
MSN
价格
全部
免费
付费
清除筛选条件
安全搜索:
中等
严格
中等(默认)
关闭
筛选器
0:42
SHOCKING: Unknown Alien Space Vessels Heading Towards Earth,
…
2021年3月31日
ibtimes.sg
2:25
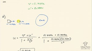
OpenStax College Physics Solution, Chapter 28, Problem 20 (Problem
…
已浏览 95 次
2021年4月23日
collegephysicsanswers.com
Fact or Fiction: James Webb Space Telescope spotted large object mo
…
2024年10月3日
10news.com
0:53
Today's Video Headlines
2023年3月15日
NEW YORK POST
Fox News
Ship Motions - The Ultimate Guide
2025年1月29日
marineinsight.com
3:19
Beyond the Wow: The Six Types of Ship Motion
2020年12月9日
nautiluslive.org
3:32
Alien mothership lurking in our solar system could be watching u
…
2023年3月25日
SPACE.com
Hannah Osborne
Is the Earth Headed Toward Warming or Cooling? — Paleontol
…
2023年4月24日
priweb.org
What NASA has said about 'hostile alien threat' that scientist says co
…
8 个月之前
ladbible.com
'Hostile': Why scientists believe alien spacecraft is headed for Earth
7 个月之前
news.com.au
Sarah Arnold - The Sun
China's New Ship Can Drill 11 Kilometers Deep, Hoping To Reve
…
2025年3月14日
iflscience.com
0:06
Quantum | 🚨 RED ALERT! Scientists Detect “Alien Ship” Hurtling Towa
…
已浏览 1万 次
4 个月之前
Instagram
quantum_facts_05
The alien colonizing ship heading towards earth being annihilated af
…
2024年7月30日
9gag.com
3:04
Observations Repeated- Ship over the Horizon
已浏览 14.8万 次
2015年5月12日
YouTube
Reds Rhetoric
1:10
the Earth is round
已浏览 5.1万 次
2014年11月7日
YouTube
Mila Zinkova
0:20
EPIC View of Moon Transiting the Earth
已浏览 419.5万 次
2015年8月5日
YouTube
NASA Video
7:30
Flat Earth - Ships Disappearing Over the Horizon
已浏览 1.4万 次
2019年1月6日
YouTube
Eric Dubay
0:20
Apophis Asteroid and Earth at Closest Approach
已浏览 109万 次
2019年4月29日
YouTube
NASA Video
4:58
How to build an earthship (filling tires)
已浏览 19.4万 次
2016年6月17日
YouTube
Florent
1:23
Weather phenomenon makes it appear that ships are floating
已浏览 5.4万 次
2021年3月5日
YouTube
WKYC Channel 3
1:03
Heading towards the alien mother-ship (Independence Day scene).
已浏览 9.4万 次
2018年4月6日
YouTube
NunyVanstta135
2:14
Mariana Trench: Record-breaking journey to the bottom of the ocea
…
已浏览 1202.9万 次
2019年5月14日
YouTube
BBC News
15:25
Can We Turn Earth Into a Spaceship? | The Wandering Earth
已浏览 107万 次
2019年7月11日
YouTube
Because Science
5:29
Why Harvard Scientists Think This Object Is An Alien Spacecraft
已浏览 279.4万 次
2018年12月2日
YouTube
Insider Tech
0:56
Ship going over the horizon, proves curve of the earth.
已浏览 498 次
2021年6月5日
YouTube
Ebriy Khoq
6:07:51
🔴Scientists Predict That Meteor Will Collide With Earth In 2029 | Discov
…
已浏览 309.2万 次
2019年5月16日
YouTube
Discovery UK
5:11
Earthship 101
已浏览 9.7万 次
2020年1月14日
YouTube
Earthship Biotecture
5:50
Simple Survival Model Earthship
已浏览 111.2万 次
2011年11月29日
YouTube
Earthship Biotecture
11:52
Alien Object Coming Towards Earth
已浏览 70.2万 次
8 个月之前
YouTube
अंतरिक्ष TV by Kaushik Bhattacharjee
1:41
’UFO’ spotted by Beijing residents
已浏览 81万 次
2024年1月16日
YouTube
South China Morning Post
观看更多视频
更多类似内容
反馈